2024 FAI World Drone Racing Championship
Participants
National teams
Every NAC may enter a national team consisting of:
- A Team manager
Note: The team manager is mandatory but may be a dedicated person or one of the competitors of the national team. - Maximum of three competitors (without age or gender requirements), and optionally, one additional competitor age Junior (without gender requirement) and/or one additional competitor gender female (without age requirement).
Note: So, a national team must at least include one competitor and may include a maximum of five competitors with the two optionally additional competitors. - Helpers (one maximum permitted for each competitor).
- Supporters.
Note: Helper and supporter are two different profiles with same entry fee amount but not the same rights. The supporters will be authorized to access the preparation zone which will be restricted to the pilots, helpers and team managers concerned. Any competitor may be a helper of other competitors even from another country. The team manager may also act as helper for the competitors of its national team. Additional helpers may also be registered, subject to a limit of one helper per competitor.
Individual competitors
The following competitors will have the right to participate as individual competitor with a wild card subject not to be retained as competitor for their national team:
- Reigning 2023 overall World Champion (MinChan KIM - Republic of Korea) and Junior World Champion (MinJae KIM - Republic of Korea).
- 16 best placed competitors in the Drone Racing World Cup ranking based on the contests held during the 12 months period from 1st August 2023 up to 31 July 2024.
- Winners of a CIAM Drone Racing World Cup contests held during that 12 months period and in which at least 40 competitors had flown.
- Download the list of the wdrc 2024 individual competitors qualified
Download PDF: wdrc 2024 individual competitors qualified - Download the complete
As hosting NAC, ASFC will be entitled to issue three wild cards for individual competitors from China including the Chinese individual competitors eventually qualified as stated above.
FAI may issue additional wild cards to treat specific situations arriving in some countries.
Note: NACs are encouraged to consider for their national team the individual competitors from their country qualified according above. In any case, the wild card individual competitors must have, where appropriate, the approval of their NAC to participate.
Definition of a Junior - According to the CIAM General Rules, a competitor is considered to be a junior up to and including the calendar year in which he attains the age of 18. So, a competitor will be considered as being a junior for the 2024 WDRC as long he/she is born from the 1st January 2006.
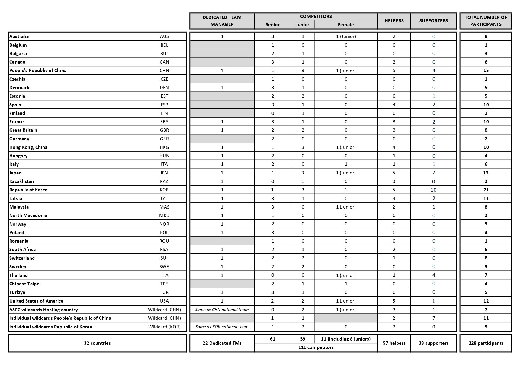
2024 WDRC PARTICIPANTS RECAP & COMPETITORS LIST
There are 111 competitors (including 47 juniors and 11 female) from 32 countries registered for the 2024 WDRC, and the total number of participants (team managers, competitors, helpers and supporters) is 226.
RECAP OF THE NUMBERS OF PARTICIPANTS PER NATIONAL TEAM

LIST OF THE COMPETITORS LISTED BY NATIONAL TEAMS

