2025 FAI World Drone Soccer Championships
Shanghai,
China
15 Nov
-
18 Nov 2025
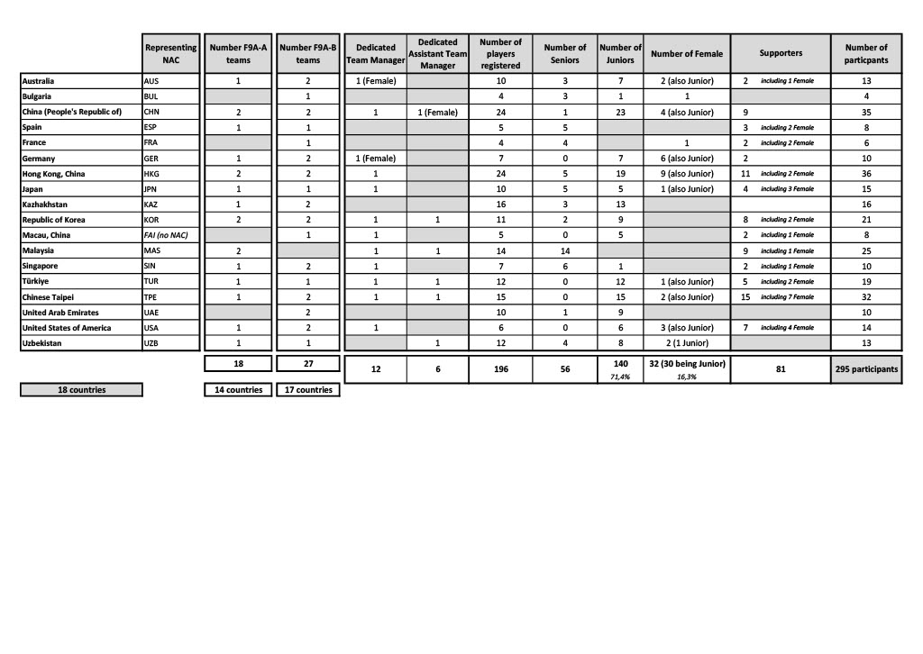
Participants
18 countries in total registered to participate:
- 14 countries for the F9A-A subclass (Drione ball 40 cm) representing 18 drone soccer teams.
- 17 countries for the F9A-B subclass (Drone ball 20 cm) representing 27 drone soccer teams.

